ExpansionContraction
Sudden Expansion / Contraction
![]()
Library
HydraulicsByFluidon/Components/Lines
Description
The component ExpansionContraction is a model of a cross section enlargement (diffusor) or a cross section reduction (nozzle). It depends on the flow direction.
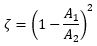
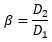
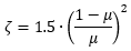
The component computes the loss number zeta

according to the following equations:

Borda-Carnot Equation





Formulas are taken from E. Truckenbrodt, Fluidmechanik, Band 1: Grundlagen und elementare Strömungsvorgänge dichtebeständiger Fluide, 4. Auflage, 2008.
Parameters

| Name | Label | Description | Data Type | Valid Values |
|---|---|---|---|---|
mo_D1 | D1 | Diameter 1 | Scalar | |
mo_D2 | D2 | Diameter 2 | Scalar | |
mo_deadVolume | deadVolume | Dead volume at ports | Scalar | |
mo_pA | pA | pA | Structure | |
mo_pA/fixed | fixed | Cell of scalars | true | |
mo_pA/start | start | Cell of scalars | ||
mo_pB | pB | pB | Structure | |
mo_pB/fixed | fixed | Cell of scalars | true | |
mo_pB/start | start | Cell of scalars |

| Name | Label | Description | Data Type | Valid Values |
|---|---|---|---|---|
mo_forwardFluidProperties | forwardFluidProperties | Forward fluid properties between ports | Scalar | true |

| Name | Label | Description | Data Type | Valid Values |
|---|---|---|---|---|
mo__nmodifiers | Number of Modifiers | Specifies the number of modifiers | Number | |
mo__modifiers | Modifiers | Add new modifier | Structure | |
mo__modifiers/varname | Variable name | Cell of strings | 'volumeFlowA' | |
mo__modifiers/attribute | Attribute | Cell of strings | 'start' | |
mo__modifiers/value | Value |
Ports
| Name | Type | Description | IO Type | Number |
|---|---|---|---|---|
fluidPortA | implicit | Hydraulic port A | input | 1 |
fluidPortB | implicit | Hydraulic port B | input | 2 |