Orifice
Orifice
Library
HydraulicsByFluidon/Components/Resistors
Description
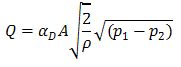
The component Orifice is a model of a sharp-edged fluid resistance with a - to a large extent - root-like relationship between the flow rate and the pressure difference pA - pB acting on the component. The flow rate is independent of the viscosity of the hydraulic fluid.

It is parameterized by the geometric parameters Diameter and Flow Coefficient alphaD.

The Orifice is suitable for modeling an orifice opening, if the ratio of its length l to its diameter d is comparatively small (approx. l/d < 1.5).
The density of the hydraulics fluid is considered.
Parameters
Name | Label | Description | Data Type | Valid Values |
---|---|---|---|---|
mo_diameter | diameter | Diameter | Scalar | |
mo_alphaD | alphaD | Flow coefficient alphaD | Scalar | |
mo_dp | dp | dp | Structure | |
mo_dp/fixed | fixed | Cell of scalars | true | |
mo_dp/start | start | Cell of scalars |
Name | Label | Description | Data Type | Valid Values |
---|---|---|---|---|
mo_forwardFluidProperties | forwardFluidProperties | Forward fluid properties between ports | Scalar | true |
Name | Label | Description | Data Type | Valid Values |
---|---|---|---|---|
mo__nmodifiers | Number of Modifiers | Specifies the number of modifiers | Number | |
mo__modifiers | Modifiers | Add new modifier | Structure | |
mo__modifiers/varname | Variable name | Cell of strings | 'volumeFlowA' | |
mo__modifiers/attribute | Attribute | Cell of strings | 'start' | |
mo__modifiers/value | Value |
Ports
Name | Type | Description | IO Type | Number |
---|---|---|---|---|
fluidPortA | implicit | Hydraulic port A | input | 1 |
fluidPortB | implicit | Hydraulic port B | input | 2 |