InitialEventExtract
new block definition
![]()
Library
StateMachine
Description
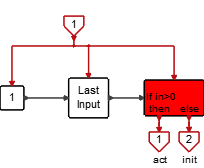
This block is used to separate the first event of a discrete activation signal from the rest. The first event exists the init port and is usually used for initialization of the state machine.
Ports
| Name | Type | Description | IO Type | Number |
|---|---|---|---|---|
act | activation | output | 1 | |
init | activation | output | 2 | |
Port 3 | activation | input | 1 |
