ExpansionContraction

Sudden Expansion / Contraction

    ExpansionContraction

Library

HydraulicsByFluidon/Components/Lines

Description

The component ExpansionContraction is a model of a cross section enlargement (diffusor) or a cross section reduction (nozzle). It depends on the flow direction.

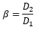
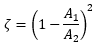
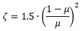
The component computes the loss number zeta

according to the following equations:

Borda-Carnot Equation

Formulas are taken from E. Truckenbrodt, Fluidmechanik, Band 1: Grundlagen und elementare Strömungsvorgänge dichtebeständiger Fluide, 4. Auflage, 2008.

Parameters

ExpansionContraction_0

NameLabelDescriptionData TypeValid Values

mo_D1

D1

Diameter 1

Scalar

mo_D2

D2

Diameter 2

Scalar

mo_deadVolume

deadVolume

Dead volume at ports

Scalar

mo_pA

pA

pA

Structure

mo_pA/fixed

fixed

Cell of scalars

true
false

mo_pA/start

start

Cell of scalars

mo_pB

pB

pB

Structure

mo_pB/fixed

fixed

Cell of scalars

true
false

mo_pB/start

start

Cell of scalars

ExpansionContraction_1

NameLabelDescriptionData TypeValid Values

mo_forwardFluidProperties

forwardFluidProperties

Forward fluid properties between ports

Scalar

true
false

ExpansionContraction_2

NameLabelDescriptionData TypeValid Values

mo__nmodifiers

Number of Modifiers

Specifies the number of modifiers

Number

mo__modifiers

Modifiers

Add new modifier

Structure

mo__modifiers/varname

Variable name

Cell of strings

'volumeFlowA'
'volumeFlowB'
'fluidId'

mo__modifiers/attribute

Attribute

Cell of strings

'start'
'fixed'

mo__modifiers/value

Value

Ports

NameTypeDescriptionIO TypeNumber

fluidPortA

implicit

Hydraulic port A

input

1

fluidPortB

implicit

Hydraulic port B

input

2