Volume

    Volume

Library

HydraulicsByFluidon/Components/Volumes

Description

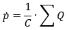
Model of a simple hydraulic capacity. It can be used to represent the volume of adjacent components that lack any spatial expansion, e. g. the IdealResistor component. The temporal change rate of pressure equals the net mass flow into the capacity.

The capacity C used to calculate the rate of pressure change takes into account the compression modulus of the fluid. The housing is assumed to be ideally rigid (in comparison to fluid). If the housing is to be taken into account, component VolumeExt must be used.

Parameters

Volume_0

NameLabelDescriptionData TypeValid Values

mo_capacity

capacity

Size of the volume

Scalar

mo_p

p

p

Structure

mo_p/fixed

fixed

Cell of scalars

true
false

mo_p/start

start

Cell of scalars

Volume_1

NameLabelDescriptionData TypeValid Values

mo__nmodifiers

Number of Modifiers

Specifies the number of modifiers

Number

mo__modifiers

Modifiers

Add new modifier

Structure

mo__modifiers/varname

Variable name

Cell of strings

mo__modifiers/attribute

Attribute

Cell of strings

'start'
'fixed'

mo__modifiers/value

Value

Ports

NameTypeDescriptionIO TypeNumber

fluidPort

implicit

Hydraulic port

input

1