Mos2N
Level 2 MOSfet model with Meyer capacitance model
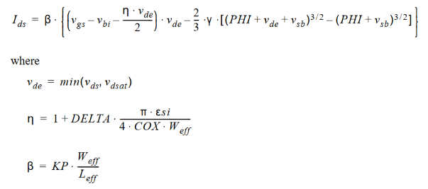
![]()
Library
Spice/Analog/Basic
Description
This is a MOS Level 2 (Grove-Frohman Mosfet Model)
The equations of the MOS level 2 give the evaluation of the current IDS between the drain and the source as a function of VD, VG and VS.
The device operation is divided into three regions:
- cut-off (Vgs <= Vth)
- linear (0 <= Vds <= Vgs-Vth)
- saturated (0 <= Vgs-Vth <= Vds)
The second order effect is taken into account (channel length modulation)
Equations for the MOS2N device
- when Vgs <= Vth then Ids=0
- when 0 <= Vds <= Vgs-Vth then the equations below apply:

Parameters

| Name | Label | Description | Data Type | Valid Values |
|---|---|---|---|---|
sp_mname | Model Name | Name of the Mos model | String | |
sp_m | Multiplier | Multiplier for setting m mosfets in parallel | Scalar | |
sp_l | Length | Channel length (meter) | Scalar | |
sp_w | Width | Channel width (meter) | Scalar | |
sp_ad | Drain area | Drain area (square meter) | Scalar | |
sp_as | Source area | Source area (square meter) | Scalar | |
sp_pd | Drain perimeter | Drain perimeter (square meter) | Scalar | |
sp_ps | Source perimeter | Source perimeter (square meter) | Scalar | |
sp_nrd | Drain squares | Equivalent number of squares of the drain diffusion | Scalar | |
sp_nrs | Source squares | Equivalent number of squares of the source diffusion | Scalar | |
sp_icvds | Initial D-S voltage | Initial drain source voltage (volts) | Scalar | |
sp_icvgs | Initial G-S voltage | Initial gate source voltage (volts) | Scalar | |
sp_icvbs | Initial B-S voltage | Initial bulk source voltage (volts) | Scalar | |
sp_temp | Instance operating temperature | The temperature at which the mosfet is operating (degrees Celsius) | Scalar | |
sp_dtemp | Instance temperature difference | Temperature variation relative to the simulation temperature (degrees Celsius) | Scalar | |
sp_tnom | Parameter measurement temperature | Scalar | ||
sp_Spice | Additional Spice Parameters | For more details, see the section | String |
Ports
| Name | Type | Description | IO Type | Number |
|---|---|---|---|---|
Drain | implicit | Drain node | input | 1 |
Gate | implicit | Gate node | input | 2 |
Source | implicit | Source node | input | 3 |
Bulk | implicit | Bulk node | input | 4 |