Create Super Blocks

Group multiple blocks in a diagram to create a super block.

  1. Select a group of blocks in your model that you want to consolodate into a super block.
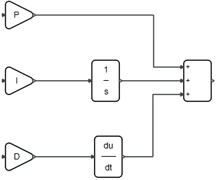
    The following figure shows an example diagram of a PID controller that is a good candidate to be a super block.

    Once added to a block library as a super block, the controller can be easily reused in other models.

  2. On the ribbon, select the Super Block tool: , or right-click and from the context menu, select Super Block.
    The selection of blocks is consolodated into a single super block:
    The new super block acts like a basic block. You can name it, define parameters for it, and save it for reuse in new models.