Mechanical loss model settings
Mechanical loss model settings
The definition of mechanical loss computation model is available only for some tests.
|
|
| User inputs for defining the mechanical losses |
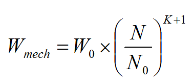
Mechanical loss model is considered as:

The following input parameters are needed:
- “ Ref. speed ” (Reference speed) – N 0
- “ Losses at ref. speed ” (mechanical losses at reference speed) – W 0
- “ Exponent ” (Speed exponent) - K
- Current speed “N” for which the mechanical losses “W mech ” must be computed