Mechanical loss model settings
The definition of mechanical loss computation model is available only for some tests.
|
User inputs for defining the mechanical losses |
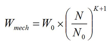
Mechanical loss model is considered as:
The following input parameters are needed:
- “Ref. speed” (Reference speed) – N0
- “Losses at ref. speed” (mechanical losses at reference speed) – W0
- “Exponent” (Speed exponent) - k
- Current speed “N” for which the mechanical losses “Wmech” must be computed