Tutorial: Simulating a Hybrid Model
Learn how to model and simulate a simple hybrid system that includes discrete signals and continuous linear systems.
Files for This Tutorial
HybridSystem.scm
Overview
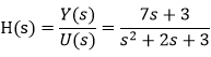
The model in this tutorial includes DiscreteDelay blocks to generate a square-wave signal that is fed into the input of a continuous-time linear system. The continuous-time linear system is represented by its transfer function via a ContTransFunc block. A Scope block plots the output of the system.



Constructing a Discrete Signal
Construct discrete signals with the DiscreteDelay block.
-
From the ribbon, click
or, from the menu bar, click .
- Save your model as HybridSystem_practice.scm.
-
From the Palette Browser, drag and drop the following
blocks into your diagram:
- From DiscreteDelay blocks into your diagram. , drag and drop two
- From SampleClock block into your diagram. , drag and drop one
-
Assemble and connect the blocks in your diagram as you see in the following
figure:
-
On the SampleClock block, double-click. In the block
dialog, for the Sample period, enter: 1/20000, and click
OK.
-
On the block, DiscreteDelay, double-click. In the block
dialog, for Initial Condition, enter: 1, and click
OK.
The discrete signal is constructed as you see in the following figure. The signal generates a square wave signal toggled between 0 and 1 at the frequency of 10000Hz.
Creating a Continuous Transfer Function
Represent continuous linear systems with the ContTransFunc block.
- In the Palette Browser, double-click ContTransFunc block into the diagram. , and drag and drop a
-
On the block, ContTransFunc, double-click. In the block
dialog, for Coefficients of the numerator polynomial,
enter: 1. For Coefficients of the denominator
polynomial, enter: [0.2 1], and click
OK.
-
Connect the block to your diagram as you see in the following figure:
- In the Palette Browser, double-click Scope block into the diagram. , and drag and drop one
-
On the Scope block, double-click. For Number of inputs,
enter: 2.
Two input ports appear on the Scope block.
-
Connect the Scope block to the diagram as you see in the following
figure:
Simulating the Hybrid Model
Set simulation parameters and run a simulation.
-
On the ribbon, select the Setup tool.
-
On the Simulation Parameters dialog, enter 2 for Final
time, then click OK.
-
On the ribbon, click Run
.
The simulation of the diagram begins.
Reviewing Simulation Data
Examine the data in the plots generated from the Scope block.
-
On the Scope block, double-click.
A Scope window opens. Because the Scope block is defined with two inputs, two corresponding subplots are displayed, representing the square wave signal and system response, respectively. Because the frequency of the square wave is 10,000Hz, too many periods exist in the time span between 0 and 2 seconds, therefore zooming into a smaller range is required.
- To reveal the square wave form more clearly, on the X-axis of the upper subplot, right-click to launch a floating panel.
-
For the upper limit value, enter 0.001.
-
On the Y-axis of the upper subplot, right-click. In the floating panel, for the
lower-limit value, enter: -2; for the upper limit value,
enter: 2.
-
To fit the view of the plot in the window, on the lower subplot,
middle-click.
-
To zoom in on an area in the plot, press the Ctrl key + middle-click + drag to select a
frame on the plot.
The area in the frame appears in the lower plot as you see in the following image:
-
To reveal specific data points on the curve, press and hold the
Ctrl key while
positioning your cursor on the curve.
The data points closest to the cursor are displayed.
- Save your model.