定义正交各向异性材料属性

用工程常数定义材料的正交各向异性属性。

格式

1.


示例

2.


备注

  1. 正交各向异性材料具有三个相互垂直的对称面。正交各向异性线弹性材料的应力-应变关系可表示为:
    ε ¯ ¯ = S ¯ ¯ σ ¯ ¯ MathType@MTEF@5@5@+= feaahqart1ev3aaatCvAUfeBSjuyZL2yd9gzLbvyNv2CaerbuLwBLn hiov2DGi1BTfMBaeXatLxBI9gBaerbd9wDYLwzYbItLDharqqtubsr 4rNCHbGeaGqiVu0Je9sqqrpepC0xbbL8F4rqqrFfpeea0xe9Lq=Jc9 vqaqpepm0xbba9pwe9Q8fs0=yqaqpepae9pg0FirpepeKkFr0xfr=x fr=xb9adbaqaaeGaciGaaiaabeqaamaabaabaaGcbaWaaWqaaeaacq aH1oqzaaGaeyypa0ZaaWqaaeaacaWGtbaaamaameaabaGaeq4Wdmha aaaa@3B6E@
    其中,柔度矩阵为 S ¯ ¯ MathType@MTEF@5@5@+= feaahqart1ev3aaatCvAUfeBSjuyZL2yd9gzLbvyNv2CaerbuLwBLn hiov2DGi1BTfMBaeXatLxBI9gBaerbd9wDYLwzYbItLDharqqtubsr 4rNCHbGeaGqiVu0Je9sqqrpepC0xbbL8F4rqqrFfpeea0xe9Lq=Jc9 vqaqpepm0xbba9pwe9Q8fs0=yqaqpepae9pg0FirpepeKkFr0xfr=x fr=xb9adbaqaaeGaciGaaiaabeqaamaabaabaaGcbaWaaWqaaeaaca WGtbaaaaaa@36DC@
    3.


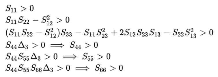
    柔度矩阵是对称的,必须是正定的(每个非零值都是实数)。这意味着,根据西尔维斯特准则,矩阵的所有主副矩阵都为正。
    4.


    然后,
    5.


    上述条件意味着,
    6.


    如果不满足上述条件,就会发生错误。
    7.


  2. 如果热仿真需要,还可以给出热膨胀系数(沿 X、Y、Z 方向)和热属性。