Force: State Equation

Model ElementForce_StateEqn is an abstract modeling element that combines the modeling capabilities of the Control_StateEqn and the Force_Vector_TwoBody model elements.

Description

The Force_StateEqn is used to apply a vector force (FX, FY, FZ, TX, TY and TZ) and thus must have exactly 6 outputs.

Consider a dynamic system characterized by:
  • A vector of inputs u
  • A vector of dynamic states x defined through a set of differential equations
  • A vector of outputs y defined by a set of algebraic equations. Since the Force_StateEqn is used to apply a vector force (FX, FY, FZ, TX, TY and TZ) the number of outputs is fixed at 6.

The image below illustrates the basic concept of a dynamic system.

Figure 1. Inputs, Outputs, and States for a dynamic system.


For such a dynamic system, the Force_StateEqn computes the state vector x, given u and applies the output y as a vector force between the two specified bodies.

As with the Control_StateEqn, two types of Force_StateEqn elements are available in MotionSolve.

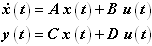
  1. Linear Dynamical Systems: These are characterized by four matrices: A, B, C, and D. These are related to the dynamical system in the following way:
    Figure 2.


    The four matrices A, B, C, D are all constant valued. The first equation defines the states. The second equation defines the outputs.

    The A matrix is called the state matrix. It defines the characteristics of the system. If there are "n" states, then the A matrix has dimensions n x n. A is required to be non-singular.

    The B matrix is called the input matrix. It defines how the inputs affect the states. If there are "m" inputs, the size the B matrix is n x m.

    The C matrix is called the output matrix. It defines how the states affect the outputs. If there are "p" outputs, the size the C matrix is p x n.

    The D matrix is called the direct feed-through matrix. It defines how the inputs directly affect the outputs. The size the D matrix is p x m.
  2. Nonlinear Dynamical Systems: These are characterized by two vector functions: F() and G(). These are related to the dynamical system in the following way:
    Figure 3.


    The function F() returns the time derivative of x, when it is provided x(t) and u(t). The function G() returns the outputs y, when it is provided x(t) and u(t). Both F() and G() are required to be defined in user defined subroutines.

Format

<Force_StateEqn
       id                      = "integer"     
     [ label                   = "string" ]       
       x_array_id              = "integer"       
       ic_array_id             = { "integer"  | "0" }     
     [ is_static_hold          = { "TRUE"  |  "FALSE" } ]       
       i_marker_id             = "integer"        
       j_floating_marker_id    = "integer"        
       ref_marker_id           = "integer"     
     [ u_array_id              = "integer" ]   
    {       
       type                    = "LINEAR"
           a_matrix_id         = "integer"         
         [ b_matrix_id         = "integer" ]
         [ c_matrix_id         = "integer" ]
         [ d_matrix_id         = "integer" ]
     | type                    = "USERSUB"
           num_state           = "integer"
           usrsub_param_string = "USER( [[par_1][, ...][, par_n]] )"
           usrsub_dll_name     = "valid_path_name"
         [ usrsub_fnc_name     = "custom_fnc_name" ]         
         [ usrsub_der1_name    = "custom_fnc_name" ]
         [ usrsub_der2_name    = "custom_fnc_name" ] 
         [ usrsub_der3_name    = "custom_fnc_name" ] 
         [ usrsub_der4_name    = "custom_fnc_name" ]
     | type                    = "USERSUB"
           num_state           = "integer"           
           script_name         = valid_path_name           
           interpreter         = "string"  
           usrsub_param_string = "USER( [[par_1 [, ...][,par_n]] )"
         [ usrsub_fnc_name     = "custom_fnc_name" ]         
         [ usrsub_der1_name    = "custom_fnc_name" ]
         [ usrsub_der2_name    = "custom_fnc_name" ] 
         [ usrsub_der3_name    = "custom_fnc_name" ] 
         [ usrsub_der4_name    = "custom_fnc_name" ] 
>
   }
</Force_StateEqn>

Attributes

id
Element identification number (integer>0). This is a number that is unique among all Force_StateEqn elements.
label
The name of the Force_StateEqn element.
is_static_hold
A Boolean that specifies whether the values of the dynamic states, x, are kept fixed during static equilibrium and quasi-static solutions.
"TRUE"
Implies that the dynamic states are kept constant during static and quasi-static solutions.
"FALSE"
Implies that the dynamic states are allowed to change during static equilibrium or quasi-static solutions.
See Comment 5 for more information on how this is accomplished.
i_marker_id
Specifies the Reference_Marker at which the force is applied. This is designated as the point of application of the force.
j_floating_marker_id
Specifies the Reference_Marker at which an equal and opposite reaction force is applied. This marker is moved around on the parent body so that it is always superimposed on i_marker_id. Such a construct allows Newton's third law to be automatically fulfilled. Note j_floating_marker_id may belong to rigid bodies or point masses only. They may not belong to flexible bodies.
ref_marker_id
Specifies the Reference_Marker whose coordinate system is used as the basis for defining the components of the force vector
x_array_id
Specifies the ID of the Reference_Array used to store the states "x" of this Force_StateEqn. You can use the ARYVAL() function with this ID to access the states in a MotionSolve expression. You can also use this ID in SYSFNC and SYSARY to access the state values from a user subroutine.
u_array_id
Specifies the ID of the Reference_Array used to store the inputs u of this Force_StateEqn. You can use the ARYVAL() function with this ID to access the states in a MotionSolve expression. You can also use this ID in SYSFNC and SYSARY to access the input values from a user subroutine.
ic_array_id
Specifies the ID of the Reference_Array used to store the initial values of the states, x of this Force_StateEqn. You can use the ARYVAL() function with this ID to access the states in a MotionSolve expression. You can also use this ID in SYSFNC and SYSARY to access the initial state values from a user subroutine.
type
Specifies the type of dynamic system being modeled. Select one from the choices "LINEAR" or "USERSUB".
"LINEAR"
Specifies that the dynamic system being modeled is linear. The system definition is achieved by specifying the IDs of the A, B, C, and D matrices.
"USERSUB"
Specifies that the dynamic system being modeled is defined in user defined subroutines. The dynamic system can be linear or nonlinear.
See Comments 2 and 3 for more information about this.
a_matrix_id
Specifies the ID of the Reference_Matrix object containing the state matrix for a linear Force_StateEqn. The A matrix encapsulates the intrinsic properties of the dynamic system. For instance, the eigenvalues of A represent the eigenvalues of the system. Similarly, the eigenvectors of A represent the mode shapes of the dynamic system. A is a constant valued matrix. It is required to be invertible. If there are n states, the A matrix is of dimension n x n. Use only when type = "LINEAR".
b_matrix_id
Specifies the ID of the Reference_Matrix object containing the input matrix for a linear Force_StateEqn. The B matrix determines the contribution of the inputs u to the state equations.
B is a constant valued matrix. If there are m inputs and n states, the B matrix is of dimension n x m.

Use only when type = "LINEAR".

c_matrix_id
Specifies the id of the Reference_Matrix object containing the output matrix for a linear Force_StateEqn. The C matrix determines the contribution of the states x to the outputs y. C is a constant valued matrix. If there are p outputs and n states, the C matrix is of dimension p x n.
Use only when type = "LINEAR".
d_matrix_id
Specifies the id of the Reference_Matrix object containing the feed-thru matrix for a linear Force_StateEqn. The D matrix determines the contribution of the inputs u to the outputs y. D is a constant valued matrix. If there are p outputs and m inputs, the D matrix is of dimension p x m.
Use only when type = "LINEAR".
num_state
An integer that specifies the number of states in the Force_StateEqn. num_state > 0.
Use only when type = "USERSUB".
usrsub_param_string
The list of parameters that are passed from the data file to the user defined subroutines YFOSUB, YFOXX, YFOXU, YFOYX and YFOYU. See Comment 4 for more explanation about these user defined subroutines. Use only when type = "USERSUB". This attribute is common to all types of user subroutines and scripts.
usrsub_dll_name
Specifies the path and name of the DLL or shared library containing the user subroutine. MotionSolve uses this information to load the user subroutines YFOSUB, YFOXX, YFOXU, YFOYX and YFOYU in the DLL at run time. Use only when type = "USERSUB".
usrsub_fnc_name
Specifies an alternative name for the user subroutine YFOSUB.
usrsub_der1_name
Specifies an alternative name for the user subroutine YFOXX.
usrsub_der2_name
Specifies an alternative name for the user subroutine YFOXU.
usrsub_der3_name
Specifies an alternative name for the user subroutine YFOYX.
usrsub_der4_name
Specifies an alternative name for the user subroutine YFOYU.
script_name
Specifies the path and name of the user written script that contains the routine specified by usrsub_fnc_name.
interpreter
Specifies the interpreted language that the user script is written in (example: "PYTHON"). See User-Written Subroutines for a choice of valid interpreted languages.

Example

This example demonstrates the use of the LuGre (Lundt-Grenoble) friction model to compute a friction torque for the revolute joint in a single mass pendulum system. The model has inputs, states and 6 outputs - 3 forces and 3 torques, and can thus be implemented as a Force_StateEqn. Friction is applied to the revolute joint at the attachment point A in the image below:
Figure 4. Simple pendulum system


The model depicts a two dimensional problem. The system consists of a single mass that is fixed to a rigid, massless rod. The rod is attached to the ground via a revolute joint with rotation allowed about the global Y axis only. The mass of the spring bob is 1kg, and the length of the massless rod is 100mm. Gravity is applied in the negative Z direction. The angle between the rod and the global Z axis is denoted as θ and is measured in the model by the expression AZ(30101020,30102020).

The system works as follows:
  • The pendulum mass is initially at rest. The initial angle θ is 90 degrees such that the pendulum is horizontal
  • Due to gravity, the pendulum mass swings freely in the XZ plane, rotating about the global Y axis.
  • The friction torque, Tf, counteracts the rotation of the pendulum at the hinge attachment, and consequently, the pendulum comes to rest after a while

The design parameters for the model are:

σ 0 = 10 5 N / m σ 1 = 316.23 N s / m σ 2 = 4 × 10 1 N s / m v s = 10 3 m r b = 5 × 10 3 m r p = 1.5 × 10 3 m r f = 1.25 × 10 3 m μ s = 0.5 μ d = 0.3 F p r e l o a d = 0 N MathType@MTEF@5@5@+= feaagKart1ev2aqatCvAUfeBSjuyZL2yd9gzLbvyNv2CaerbwvMCKf MBHbqefqvATv2CG4uz3bIuV1wyUbqedmvETj2BSbqefm0B1jxALjhi ov2DaebbnrfifHhDYfgasaacH8qrps0lbbf9q8WrFfeuY=Hhbbf9v8 qqaqFr0xc9pk0xbba9q8WqFfea0=yr0RYxir=Jbba9q8aq0=yq=He9 q8qqQ8frFve9Fve9Ff0dmeqaceGadmWadeWabiqaceabbiqafeaakq aabeqaaKazaa2=cqaHdpWCdaWgaaqcbasaaiaaicdaaeqaaKazaa2= cqGH9aqpcaaIXaGaaGimamaaCaaajeaibeqaaiaaiwdaaaqcKbay=x aabeqabeaaaeaaaaGaamOtaiaac+cacaWGTbaabaGaeq4Wdm3aaSba aKqaGeaacaaIXaaabeaajqgaG9Vaeyypa0JaaG4maiaaigdacaaI2a GaaiOlaiaaikdacaaIZaqbaeqabeqaaaqaaaaacaWGobGaam4Caiaa c+cacaWGTbaabaGaeq4Wdm3aaSbaaKqaGeaacaaIYaaabeaajqgaG9 Vaeyypa0JaaGinaiabgEna0kaaigdacaaIWaWaaWbaaKqaGeqabaGa eyOeI0IaaGymaaaajqgaG9FbaeqabeqaaaqaaaaacaWGobGaam4Cai aac+cacaWGTbaabaGaamODamaaBaaajeaibaGaam4CaaqabaqcKbay =labg2da9iaaigdacaaIWaWaaWbaaKqaGeqabaGaeyOeI0IaaG4maa aajqgaG9VaamyBaaqaaiaadkhadaWgaaqcbasaaiaadkgaaeqaaKaz aa2=cqGH9aqpcaaI1aGaey41aqRaaGymaiaaicdadaahaaqcbasabe aacqGHsislcaaIZaaaaKazaa2=caWGTbaabaGaamOCamaaBaaajeai baGaamiCaaqabaqcKbay=labg2da9iaaigdacaGGUaGaaGynaiabgE na0kaaigdacaaIWaWaaWbaaKqaGeqabaGaeyOeI0IaaG4maaaajqga G9VaamyBaaqaaiaadkhadaWgaaqcbasaaiaadAgaaeqaaKazaa2=cq GH9aqpcaaIXaGaaiOlaiaaikdacaaI1aGaey41aqRaaGymaiaaicda daahaaqcbasabeaacqGHsislcaaIZaaaaKazaa2=caWGTbaabaGaeq iVd02aaSbaaKqaGeaacaWGZbaabeaajqgaG9Vaeyypa0JaaGimaiaa c6cacaaI1aaabaGaeqiVd02aaSbaaKqaGeaacaWGKbaabeaajqgaG9 Vaeyypa0JaaGimaiaac6cacaaIZaaakeaajqgaG9VaamOramaaBaaa jeaibaGaamiCaiaadkhacaWGLbGaamiBaiaad+gacaWGHbGaamizaa qabaqcKbay=labg2da9iaaicdafaqabeqabaaabaaaaiaad6eaaaaa @BC2A@

For this example, the Force_StateEqn element is:

<Force_StateEqn
     id                    = "301001"
     type                  = "USERSUB"
     x_array_id            = "535050504"
     y_array_id            = "535050508"
     u_array_id            = "535050505"
     num_state             = "2"
     num_output            = "6"
     usrsub_param_string   = "USER(1001,100.,0.31625,0.0004,1.,5.,1.5,1.25,0.5,0.3,0.)"
     usrsub_dll_name       = "ms_csubdll"
     usrsub_fnc_name       = "YFOSUB"
     is_static_hold        = "FALSE"
     i_marker_id           = "30101020"
     j_floating_marker_id  = "30102020"
     ref_marker_id         = "30102020"
  />

The I marker is defined as:

<Reference_Marker
     id                  = "30101020"
     label               = "Pivot-Marker I"
     body_id             = "30101"
     body_type           = "RigidBody"
     a00                 = "-1."
     a10                 = "0."
     a20                 = "0."
     a02                 = "0."
     a12                 = "1."
     a22                 = "0."
  />

The X, Y and U arrays are defined as:

<Reference_Array
     id                  = "535050504"
     type                = "X"
     num_element         = "2"
  />
  <Reference_Array
     id                  = "535050508"
     type                = "Y"
     num_element         = "6"
  />
  <Reference_Array
     id                  = "535050505"
     type                = "U"
     num_element         = "7"
     usrsub_param_string = "USER(1001,301001)"
     usrsub_dll_name     = "ms_csubdll"
     usrsub_fnc_name     = "ARYSUB"
  />

The U array contains seven values - the angular velocity of the pendulum, and the six joint reaction forces. This is made clearer by looking at the code for ARYSUB below.

The following is the code used for the user subroutines YFOSUB and ARYSUB:

YFOSUB:
DLLFUNC void STDCALL YFOSUB (int *id, double *time, double *par, int *npar, 
                             int *dflag, int *iflag, int *nstate, double *states, 
                             int *ninput, double *input, int *noutpt, double *stated, 
                             double *output)
{
/*
#    YFOSUB evaluates the f and g in the following general state eqn
#           x' = f(x,u,t)
#           y  = g(x,u,t)
#    where x is the states, x' is the stated, u is the input, and y the output.
#    The output (y) is used as the force acting between the i and j markers.
*/
    if (int(par[0])==1001) // Joint Friction (Revolute)
    {
//      Parameter list for Joint Friction with Revolute Joints
//      (joint_id,sigma0,sigma1,sigma2,vS,Rb,Rp,Rf,muS,muD,Preload)
        double sigma0 = par[1];           // LuGre parameter
        double sigma1 = par[2];           // LuGre parameter
        double sigma2 = par[3];           // LuGre parameter
        double vS = par[4];               // Stribeck velocity
        double Rb = par[5];               // Bending arm
        double Rp = par[6];               // Pin Radius
        double Rf = par[7];               // Friction arm
        double muS = par[8];              // Static coefficient of Friction
        double muD = par[9];              // Dynamic coefficient of Friction
        double Preload = par[10];         // Friction Preload

        // Joint Reactions
        int i;
        double jReact[6];
        for(i=0;i<6;i++)
        {
            jReact[i] = input[i+1];
        }
        double Fr = pow((pow(jReact[0],2) + pow(jReact[1],2)),0.5);
        double Fa = jReact[2];
        double Fb = jReact[3]/Rb + jReact[4]/Rb;

        // Compute slip velocity

        double vSlipR = input[0]*Rp;
        double vSlipA = input[0]*Rf;

        // Compute Stribeck and Coulomb Force levels

        double FCr = muD;
        double FSr = muS;
        double FCa = muD;
        double FSa = muS;

        // GSE stuff

        double rExp = pow(2.718,(-pow((vSlipR/vS),2)));
        double aExp = pow(2.718,(-pow((vSlipA/vS),2)));

        double GVr = (FCr + (FSr - FCr)*rExp)/sigma0;
        double GVa = (FCa + (FSa - FCa)*aExp)/sigma0;

        stated[0] = vSlipR;
        stated[1] = vSlipA;
        if (fabs(GVr)>1e-12)
        {
            stated[0] -= states[0]*fabs(vSlipR)/GVr;
        }
        if (fabs(GVa)>1e-12)
        {
            stated[1] -= states[1]*fabs(vSlipA)/GVa;
        }

        // Friction Torque

        double FTrqR = (Fr+Fb+Preload)*Rp*(sigma0*states[0] + sigma1*stated[0] + sigma2*vSlipR);
        double FTrqA = (Fa)*Rf*(sigma0*states[1] + sigma1*stated[1] + sigma2*vSlipA);
        
        output[0] = 0.0;
        output[1] = 0.0;
        output[2] = 0.0;
        output[3] = 0.0;
        output[4] = 0.0;
        if (vSlipR<0)
        {
            output[5] = fabs(FTrqR + FTrqA);
        }
        else
        {
            output[5] = -fabs(FTrqR + FTrqA);
        }
    }
}
/*
ARYSUB:
DLLFUNC void STDCALL ARYSUB (int *id, double *time, double *par, 
                     int *npar, int *dflag, int *iflag, int *nvalue, double *value)
{
    if (((int)par[0])==1001)
    {
        int errflg = 0;
        int ipar[4];
        int joint_id = (int)par[1];
        int i_marker;
        int j_marker;
        char imark[80],jmark[80];

//Get the I and J marker ID for the joint
        c_modfnc("Constraint_Joint",joint_id,"i_marker_id",imark,&errflg);
        c_modfnc("Constraint_Joint",joint_id,"j_marker_id",jmark,&errflg);
  
        i_marker = atoi(imark);
        j_marker = atoi(jmark);

        ipar[0] = i_marker;
        ipar[1] = j_marker;
        ipar[2] = j_marker;

//Query the solver for angular velocity using WZ(I, J, J)
        c_sysfnc("WZ", ipar, 3, &value[0], &errflg);

        ipar[0] = joint_id;
        ipar[1] = 0;
        ipar[2] = 2;
        ipar[3] = j_marker;

//Get the Joint reaction forces - these will be used as input to the YFOSUB
        c_sysfnc("JOINT", ipar, 4, &value[1], &errflg);
        ipar[2] = 3;
        c_sysfnc("JOINT", ipar, 4, &value[2], &errflg);
        ipar[2] = 4;
        c_sysfnc("JOINT", ipar, 4, &value[3], &errflg);
        ipar[2] = 6;
        c_sysfnc("JOINT", ipar, 4, &value[4], &errflg);
        ipar[2] = 7;
        c_sysfnc("JOINT", ipar, 4, &value[5], &errflg);
        ipar[2] = 8;
        c_sysfnc("JOINT", ipar, 4, &value[6], &errflg);
    }
}
The following plot shows the angular displacement between the I and J marker of the Force_StateEqn, with and without friction applied to the revolute joint. Both the amplitude and phase of the pendulum's oscillation changes due to the friction in the joint. This is illustrated below:
Figure 5. Comparison of angular displacement with and without friction in the revolute joint


Comments

  1. The Force_StateEqn element is equivalent to a combination of the Control_StateEqn (GSE component) model element and a Force_Vector_TwoBody (Force component) element. While the GSE component calculates the state and output vectors (given the input), the FORCE component applies the output from the GSE as forces and torques to the body specified by the i_marker_id and as reaction forces and reaction torques to the body specified by the j_floating_marker_id.
  2. As with the Control_StateEqn, the Force_StateEqn is also available in a "LINEAR" and "USERSUB" version. For more details on these, please refer to the documentation on Control_StateEqn.
  3. The "USERSUB" version of a Force_StateEqn is more complex than most modeling elements that are defined via user defined subroutines.

    Five user subroutines may be needed. The first, YFOSUB is required. The other four, YFOXX, YFOXU, YFOYX, YFOYU, are required only when a stiff integrator (VSTIFF or MSTIFF) is used.

    Name Inputs Outputs
    YFOSUB The states - x

    The inputs - u

    The state derivatives, x ˙ f( x,u ) MathType@MTEF@5@5@+= feaagKart1ev2aqatCvAUfeBSjuyZL2yd9gzLbvyNv2CaerbwvMCKf MBHbqefqvATv2CG4uz3bIuV1wyUbqedmvETj2BSbqefm0B1jxALjhi ov2DaebbnrfifHhDYfgasaacH8qrps0lbbf9q8WrFfeuY=Hhbbf9v8 qqaqFr0xc9pk0xbba9q8WqFfea0=yr0RYxir=Jbba9q8aq0=yq=He9 q8qqQ8frFve9Fve9Ff0dmeqaceGadmWadeWabiqaceabbiqafeaake aaceWG4bGbaiaacqGHHjIUcaWGMbWaaeWaaeaacaWG4bGaaiilaiaa dwhaaiaawIcacaGLPaaaaaa@40AC@

    The outputs, yg( x,u ) MathType@MTEF@5@5@+= feaagKart1ev2aqatCvAUfeBSjuyZL2yd9gzLbvyNv2CaerbwvMCKf MBHbqefqvATv2CG4uz3bIuV1wyUbqedmvETj2BSbqefm0B1jxALjhi ov2DaebbnrfifHhDYfgasaacH8qrps0lbbf9q8WrFfeuY=Hhbbf9v8 qqaqFr0xc9pk0xbba9q8WqFfea0=yr0RYxir=Jbba9q8aq0=yq=He9 q8qqQ8frFve9Fve9Ff0dmeqaceGadmWadeWabiqaceabbiqafeaake aacaWG5bGaeyyyIORaam4zamaabmaabaGaamiEaiaacYcacaWG1baa caGLOaGaayzkaaaaaa@40A5@

    YFOXX The states - x

    The inputs - u

    The matrix (n x n) of partial derivatives, x ˙ / x f( x,u )/ x MathType@MTEF@5@5@+= feaagKart1ev2aqatCvAUfeBSjuyZL2yd9gzLbvyNv2CaerbwvMCKf MBHbqefqvATv2CG4uz3bIuV1wyUbqedmvETj2BSbqefm0B1jxALjhi ov2DaebbnrfifHhDYfgasaacH8qrps0lbbf9q8WrFfeuY=Hhbbf9v8 qqaqFr0xc9pk0xbba9q8WqFfea0=yr0RYxir=Jbba9q8aq0=yq=He9 q8qqQ8frFve9Fve9Ff0dmeqaceGadmWadeWabiqaceabbiqafeaake aadaWcgaqaaiabgkGi2kqadIhagaGaaaqaaiabgkGi2kaadIhaaaGa eyyyIO7aaSGbaeaacqGHciITcaWGMbWaaeWaaeaacaWG4bGaaiilai aadwhaaiaawIcacaGLPaaaaeaacqGHciITcaWG4baaaaaa@486A@
    YFOXU The states - x

    The inputs - u

    The matrix (n x m) of partial derivatives,

    x ˙ / u f( x,u )/ u MathType@MTEF@5@5@+= feaagKart1ev2aqatCvAUfeBSjuyZL2yd9gzLbvyNv2CaerbwvMCKf MBHbqefqvATv2CG4uz3bIuV1wyUbqedmvETj2BSbqefm0B1jxALjhi ov2DaebbnrfifHhDYfgasaacH8qrps0lbbf9q8WrFfeuY=Hhbbf9v8 qqaqFr0xc9pk0xbba9q8WqFfea0=yr0RYxir=Jbba9q8aq0=yq=He9 q8qqQ8frFve9Fve9Ff0dmeqaceGadmWadeWabiqaceabbiqafeaake aadaWcgaqaaiabgkGi2kqadIhagaGaaaqaaiabgkGi2kaadwhaaaGa eyyyIO7aaSGbaeaacqGHciITcaWGMbWaaeWaaeaacaWG4bGaaiilai aadwhaaiaawIcacaGLPaaaaeaacqGHciITcaWG1baaaaaa@4864@

    YFOYX The states - x

    The inputs - u

    The matrix (p x n) of partial derivatives, y/ x g( x,u )/ x MathType@MTEF@5@5@+= feaagKart1ev2aqatCvAUfeBSjuyZL2yd9gzLbvyNv2CaerbwvMCKf MBHbqefqvATv2CG4uz3bIuV1wyUbqedmvETj2BSbqefm0B1jxALjhi ov2DaebbnrfifHhDYfgasaacH8qrps0lbbf9q8WrFfeuY=Hhbbf9v8 qqaqFr0xc9pk0xbba9q8WqFfea0=yr0RYxir=Jbba9q8aq0=yq=He9 q8qqQ8frFve9Fve9Ff0dmeqaceGadmWadeWabiqaceabbiqafeaake aadaWcgaqaaiabgkGi2kaadMhaaeaacqGHciITcaWG4baaaiabggMi 6oaalyaabaGaeyOaIyRaam4zamaabmaabaGaamiEaiaacYcacaWG1b aacaGLOaGaayzkaaaabaGaeyOaIyRaamiEaaaaaaa@4863@
    YFOYU The states - x

    The inputs - u

    The matrix (p x n) of partial derivatives, y/ u g( x,u )/ u MathType@MTEF@5@5@+= feaagKart1ev2aqatCvAUfeBSjuyZL2yd9gzLbvyNv2CaerbwvMCKf MBHbqefqvATv2CG4uz3bIuV1wyUbqedmvETj2BSbqefm0B1jxALjhi ov2DaebbnrfifHhDYfgasaacH8qrps0lbbf9q8WrFfeuY=Hhbbf9v8 qqaqFr0xc9pk0xbba9q8WqFfea0=yr0RYxir=Jbba9q8aq0=yq=He9 q8qqQ8frFve9Fve9Ff0dmeqaceGadmWadeWabiqaceabbiqafeaake aadaWcgaqaaiabgkGi2kaadMhaaeaacqGHciITcaWG1baaaiabggMi 6oaalyaabaGaeyOaIyRaam4zamaabmaabaGaamiEaiaacYcacaWG1b aacaGLOaGaayzkaaaabaGaeyOaIyRaamyDaaaaaaa@485D@
  4. The behavior of the dynamic states associated with a Force_StateEqn element during static and quasi-static solutions is governed by the attribute is_static_hold. is_static_hold = "TRUE"

    If the solution is done at time T=0, the states are kept fixed at the value specified by the IC array. If the solution is done following a dynamic simulation, then the value is kept fixed at the last value obtained from the dynamic simulation. The equations defining the states for the Force_StateEqn are replaced with the following:

    x(t*) = x*, where x* is a constant.
    Note: When the dynamic states are kept fixed, their time derivatives are no longer zero at the end of the static equilibrium or a quasi-static step because the inputs u, which are typically time dependent, have changed. This may lead to transients if a dynamic solution were to be subsequently performed.

    is_static_hold = "FALSE"

    The states are not kept constant, but allowed to change as the configuration of the entire system changes during the solution process. Here is how this is accomplished.

    For static and quasi-static solutions, the derivative of the dynamic states is set to zero. This converts the GSE component of the Force_StateEqn to a set of algebraic equations.

    The differential equations become:



    During the equilibrium solution, the inputs u change as the system changes its configuration to satisfy the equilibrium conditions. The above equations are solved to compute x for the current value of u.

    This method ensures that the time derivative of the dynamic states is zero at the end of the static or quasi-static solution, and thus avoids introducing transients in a subsequent dynamic simulation.