LS-DYNAインターフェース
LS-DYNAインターフェースの概要。
HyperMeshは、分析用のLS-DYNAデータデックを準備できるように完備したプリ処理環境を提供します。
HyperMeshでは、既存のLS-DYNAデックを読み取ってモデルを作成できます。また、LS-DYNAカードを表示して、デックでの表示を考慮して編集できます。さらに、分析を目的としてデックを書き込むことができます。
HyperMeshでLS-DYNAデックを作成するには、すべてのプリ処理機能にアクセスするうえで適切なテンプレートを設定したLS-DYNAユーザープロファイルを読み込む必要があります。
インポートとエクスポート
- HyperMeshではバージョン971_R14.0までのLS-DYNAソルバーをサポートしています。
- LS-DYNA R11.1以降のプロファイルでは、エクスポートしたデックにキーワード属性のコメントが書き込まれます。
- HyperMeshでは、LS-DYNAのLongフォーマットとi10フォーマットをサポートしています。
- HyperMeshは、.gz形式の圧縮入力ファイルのインポートをサポートします。
- インポートでは、Import Optionsダイアログでソルバー固有のインポートオプションを使用できます。
- HyperMeshでは、PrimerとLSTCのダミー情報フォーマットによるLS-DYNAダミーモデルをサポートしています。HyperMeshでは、ダミー情報がPrimerフォーマットで書き出されます。
- HyperMeshでは、ソルバーデックのほとんどのIDが保持されます。一意のIDプールを実現する専用のHyperMeshエンティティでサポートされていないキーワードがある場合は、IDの競合が検出されると、HyperMeshによってキーワードの番号が割り当て直されます。その新しいIDは、インポートプロセスで配置されます。
- LS-DYNAインターフェースは、入力デックにサポート対象外のフィールドやデータ行が存在すると警告を発行するスマートで信頼性の高いFE入力リーダーをサポートしています。
- HyperMeshは、コンポーネント、材料、プロパティ、およびカーブで、パラメータ化したIDをサポートしています。
- HyperMeshは、未定義のエンティティをサポートしています。これらは、キーワードで参照されている(*PARTの材料IDなど)が、デックでは定義されていないエンティティIDです。この場合は、IDを保持するために、HyperMeshによってデフォルトのカードが作成されます。たとえば、タイプ*MAT_ELASTICの材料を作成するカードが考えられます。このキーワードは、Definedチェックボックスがオフになっています。したがって、このキーワードは自動的にはエクスポートされません。
重複ID
- インスタンスによっては、複数のLS-DYNAキーワードが1つのHyperMeshエンティティにマップされています。LS-DYNAインターフェースでは、要素を除き、デフォルトでは同じHyperMeshエンティティに重複するIDを設定できません。LS-DYNAでは、1つのHyperMeshエンティティにマップした複数のカードどうしで重複したIDを使用できます。HyperMeshでは、PreferencesダイアログでMeshingタブを選択してAllow duplicate IDsを有効にすることで、LS-DYNAと同様のID 柔軟性を有効にすることができます。
- LS-DYNAのユーザープロファイルでは、要素、プロパティ、エンティティセット、センサー、荷重コレクター、およびコントロールボリュームの各HyperMeshエンティティで重複IDを使用できます。
質量計算
- 個々の要素に基づいて質量を計算する代わりに、*PART_INTERIAカードで指定されている質量を使用します。また、質量計算では、*CONSTRAINED_NODAL_RIGID_BODY_INERTIAカードで指定された質量を扱います。
- シェル要素の体積計算で使用する板厚は次のいずれかです:
- 板厚が均一なシェルの最初の節点位置での板厚
- 板厚が不均一なシェルの3つまたは4つの節点位置での平均板厚
- 要素に*ELEMENT_SHELL_THICKNESSカードを定義していない場合は、*SECTION_SHELLカードの板厚値が使用されます。*ELEMENT_SHELL_THICKNESSカードを定義している場合は、その板厚値が*SECTION_SHELLの板厚値よりも優先されます。
- 合成ビームには、2つの端面積の平均に等しい面積が割り当てられます。得られるビームには、*SECTION_BEAMカードに入力した面積が使用されます。体積は、*SECTION_BEAMカードで指定されている面積とビームの長さを乗算して計算します。離散ビームでは、*SECTION_BEAMカードで指定されている体積が使用されます。どの場合でも、要素に*ELEMENT_BEAM_THICKNESSカードを定義している場合は、その要素値が*SECTION_BEAMカードの値よりも優先されます。
- 要素の質量のみが考慮されます。剛体壁カードなどで指定している他の質量は無視されます。
推奨プロセス
サポート対象外のカードを追加するためのLS-DYNAモデルの編集
サポート対象外のカードをHyperMeshで追加することにより、そのカードをLS-DYNAモデルで使用できます。テキストエディタを使用する必要はありません。Control Cardsパネルでunsupp_cardsを選択します。これにより、ポップアップ表示されたテキストエディタでカードを入力できます。書式設定とカードの検証には注意が必要です。セットやパートなどのエンティティを指しているカードがある場合も注意が必要です。このようなカードは、テキストとして保存され、ポインターは考慮されません。LS-DYNAモードをインポートする場合、サポート対象外のカードがあれば、このセクションに書き込まれます。したがって、それらのカードは残りのモデルと共にエクスポートされます。
ブランク
カードエディターでは、すべての属性欄がブランクとしてサポートされています。これらの欄をクリックして値を入力する必要があります。
LS-DYNAでの質量計算
LS-DYNAでの質量計算には、Summaryパネル(Postページ)からアクセスできます。
報告される質量は、各パートの密度と体積との単純な乗算で得られた値ではありません。LS-DYNAで剛体質量、非構造質量、および集中質量を扱うためのさまざまな要件に従った値です。
- Structural Mass
- 合計質量でもある*PART_INERTIAの場合を除き、体積と密度の乗算値。
- Lumped Mass
- *ELEMENT_MASS、*ELEMENT_MASS_NODE_SET、および*ELEMENT_INERTIAによる効果が考慮されます。集中質量から剛体への変換は考慮されません。
- 非構造質量(NSM)
- *SECTIONのELEMENT_MASS_PART、ELEMENT_MASS_PART_SET、およびNSMによる効果が考慮されます。集中質量から剛体への変換は考慮されません。
- 剛体質量
- *CONSTRAINED_NODAL_RIGID_BODIESの質量。
- 変換後質量
- 弾性体節点から剛体材料に変換した質量。このような質量として、剛体または弾性体節点から剛体材料に変換した集中質量があります。
- 剛体材料の場合は、弾性体から得られた質量です(変換によって質量が増加)。
- 弾性体パートの場合は、剛体材料によって失われた質量です(変換によって質量が減少)。
- Distributed Mass
- 節点剛体ボディから自由節点に分散された質量。
- Engineering Mass
- 実際の工学的意味に最も近いパート質量。工学質量は、可能性のある質量調整に最も有効です。工学質量は、構造質量、非構造質量、および集中質量の合計です。
- LS-DYNAのパート質量
- d3hspに列挙された質量。COG情報も含まれています。
デックのエクスポート
エクスポート可能なサポートされているLS-DYNAファイル。
- LS-DYNAのv971_R.13.0、v971_R12.0、v971_R11.1、v971_R10.1、v971_R9.3、v971_R8.0キーワードフォーマットの入力ファイル。
- デフォルトでは、LS-DYNAのユーザープロファイルはv971_R13.0の.keyファイルを出力します。
- データベース内の定義済みカーブを出力するための次の2つのテンプレートも用意されています:
- キーワードフォーマットでカーブを出力するには、curves.keyテンプレートを使用します。
- 構造化フォーマットでカーブを出力するには、curves.seqテンプレートを使用します。
要素の臨界時間ステップの計算
時間ステップの計算。
シェル(2d)要素の臨界時間ステップ



ソリッド(3D)要素の臨界時間ステップ



ここで、E はヤング率、ρ は材料密度、𝜐 はポアソン比、K は体積弾性率、G はせん断弾性率を表します。
特性長さ:
8節点ソリッド: 
4節点四面体:Le = 最短垂直距離
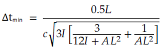
ビーム(1D)要素の臨界時間ステップ
Hughes-Liuビームおよびトラス要素の場合、時間ステップサイズは次の式によって求められます:


ここで、Eはヤング率、ρは材料密度です。

ここで、AとIはそれぞれ断面面積と慣性モーメントの最大値です。
スプリング / 離散要素の臨界時間ステップ
