Stress Linearization
石油、ガスおよび造船業界で広範に渡って使用される手法である応力の線形補間は、圧力容器などの構造内の応力を解析するために使用されます。

- 応力は、ラインに沿ったすべてのポイントにおいて局所座標系での補間により抽出されます。局所座標系は、パスの開始節点と終了節点に基づきます。詳細については、追加の注記をご参照ください。
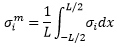
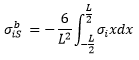
- 手順1.で抽出された応力値から、開始節点と終了節点における平均膜応力テンソルと曲げ応力テンソルが数値積分法を使って計算されます。



= 膜応力のi 番目の成分
= 抽出された応力値のi 番目の成分
= 開始節点におけるi 番目の曲げ応力
= 終了節点におけるi 番目の曲げ応力L = パスのラインの長さ
x はラインに沿ったポイントの位置を表します。
- ピーク応力および膜 + 曲げ応力も、開始節点と終了節点において計算されます。


= 開始節点におけるi 番目のピーク応力
= 開始節点におけるi 番目のピーク応力 - 最後に、膜、膜 + 曲げ応力およびピーク応力が計算されます。
一度に1つまたは複数のパスについて計算を行うことが可能です。結果は、HyperGraphプロットとして表示、もしくはカンマ区切り値(*.csv)ファイルにエクスポートすることができます。


Extract-Linearizeツールは、それぞれこのツールを使用する処理順に対応した下記の3つのセクションに分かれており、タブ領域に表示されます。
Path definition
パスの定義を作成、管理することができます。パスは、ラインを追加し、開始節点と終了節点をピックすることにより生成できます。ポイントの数やカラーといったライン特性も、ラインが定義された後に設定することが可能です。Reviewオプションは、ラインをモデリングウィンドウで確認するために用意されています。
Calculation
応力の線形化の計算に使用される結果タイプを選択します。結果ファイルからベース応力テンソル結果をピックするか、表示されているコンターを使用します。Plot
計算からどの応力成分を別々のHyperGraphウィンドウにプロットするかを設定します。プロットウィンドウのレイアウトも設定できます。さらに、計算をカンマ区切りファイル(.csv)としてエクスポートするオプションも用意されています。コメント
- 応力の線形化はソリッド要素についてのみサポートされており、ファイルにはそれら要素の応力テンソル結果が含まれていなくてはなりません。
- 応力線形化の計算は、Applyボタンがクリックされたシミュレーションステップで実行されます。したがって、パスが別のステップで定義されていたとしても、適用時には、現在のステップにおける開始節点と終了節点の位置毎に更新されます。
- 一部のポイントがモデル上にない場合(指定されたトレランス範囲外)、またはソリッド要素上にない場合、計算は実行されません。
メッセージダイアログに、
デフォルト値の2倍のトレランスが推奨され、表示されるので、それを受け入れるか修正することができます。新しいトレランスで再計算されますが、それでもうまくいかない場合は、新しいトレランス 値で再度メッセージダイアログが表示されます。このプロセスは、適切なトレランスの値が見つかるまで繰り返されます。ただし、ラインによってはトレランス調整だけでは十分でないことがあります。この場合、ラインを再定義する必要があります。"Unable to calculate values for line(s) 1.At least one point lies outside tolerance or is not on 3D elements"と表示され、トレランスの値の調整、またはラインの再定義が必要になります。 - 応力は、ライン定義に基づき局所座標系でレポートされます。系のX軸は、N1からN2へのライン方向にあります。ほかの2つの軸は次のように計算されます:
- 局所X軸が全体Y軸と平行でない場合:
Zlocal = Xlocal x Yglobal
Ylocal = Zlocal x Xlocal
- 局所X軸が全体Y軸と平行である場合:
局所Y軸(Ylocal)は、局所X軸が正の全体Y軸に沿っている場合、全体X軸の負となり、その逆も同様である。
Zlocal = Xlocal x Ylocal
- 局所X軸が全体Y軸と平行でない場合:
- HyperGraphプロットおよびそれが生成されるHyperViewウィンドウとの間にライブリンクはありません。
- 各ラインについてのレポートは自動的に.csvファイルに付加されます。