JointLoadメソッド
Rivetコンフィグには、JointLoadという内部メソッドが付属しています。このメソッドは、ボルト結合による荷重伝達と関連するバイパス、および隣接するプレート内のベアリング荷重を特定します。JointLoadメソッドは、目的のプレートとボルトの内部荷重を抽出します。抽出されるデータは以下のいずれかとすることができます:
- ASCIIテキストファイル(*.csv)が実行時にディスクに書き込まれる。
- ファイルはその後解析され、外部静的強度解析に供給されます。
- オプションにより、N個の荷重ケースごとに*.csvファイルを作成して、ファイルサイズを小さくすることができます。
- HyperMesh内のテーブル内に書き込まれ、バイナリファイルに保存される。
- テーブルは、後でASCIIテキストファイルにエクスポートできます。
- テーブルはJointLoadの後に実行されるチェインメソッドで安全マージンの評価に使用することもできます。
留め具のモデル化
このメソッドは、設定Rivetのdesignpointで実行されるように調整されています。Rivetの生成時には、留め具を表すPierced_shell-1D- Pierced_shell...のコレクションがあることが期待されます(図 1)。
- 力の抽出では、Rutmanモデル化はまだサポートされていません。
- プレート間の各内部ボディがせん断のみを受け、上下のプレートをリンクする1つの要素が引張剛性のみを有するいわゆる“引張ボルト”は、留め具の検出ではサポートされていません。

力の抽出
留め具の力
複数のラップジョイントの場合、2つの1D要素の結合点での1D要素力Fx、Fy、Fzすべてとベアリング荷重が直接抽出されます。
ここでは、留め具のベアリング荷重と留め具のせん断荷重の違いに注目してください(図 2)。外側プレートでは、接触は1か所のみであるため、せん断荷重とベアリング荷重は等しくなります。中央のプレートでは、最大の絶対接触荷重が留め具のせん断荷重として考慮されます。

- Material(デフォルト)
- Elemental
- User System
Elementalが選択された場合は、貫通シェル要素のX軸がローカルX軸を定義します。
User systemが選択された場合は、選択した座標系のローカルX軸がローカルX軸を定義する貫通シェルに投影されます。この投影に失敗した場合(Xがシェル法線と同じ線上にあるため)は、代わりに要素Xが使用されます。
Y、Zの定義に使用する手順は、すべてのオプションで同一です。
JointLoadメソッドは、入力Material Angle(図 3)を提供します。これにより、シェル法線を中心に指定した角度で座標系を回転させることができます。1D要素のせん断力成分がその座標系に投影されます。
このメソッドで使用される材料座標系は、解析実行で設定された座標系に関係なく、現在のセッションのモデルの座標系となることに注意することが重要です。抽出オプションが“Material”で解決される場合、セッション内の貫通シェルのMCIDを変更する際、ローカルにその座標系が考慮されます。
ラップジョイントがある場合は常に、1D要素の両側からの寄与が適切に合計されます。
引張力の抽出に関しては、1Dの直接の要素軸力(Fx)を投影なしで考慮することにより、引き抜き力が再調整されます。出力は、1Dの2番目の節点の出力である場合のみ反転されます。その他の場合、軸力はそのまま使用されます。
このメソッドは、MaxFzという値(留め具の最大引張)を出力します。これは、計算されたFzの最大値です。ボルトが圧縮されている場合は0が返されます。

シェル力
- Extraction area diameter scale(デフォルト2.5)
- Composite part diameter scale(デフォルト4.5)
- Metallic part diameter scale(デフォルト4.0)
- Length to width ratio(デフォルト1.0)
各留め具には構造プロパティが割り当てられ、ここから直径を定義できます。留め具の直径とメソッドレベルスケールファクターからボックスの長さを計算するには、次の式を使用します:
Box length=0.4*AreaScale*FastenerDiameter*Material_Diameterscale

長さと幅の比率が上記の式の公称Box lengthに適用され、この比率が1.0でない場合は、長方形の形状が許容されます。
抽出ボックスは、上記のとおり、貫通シェルの材料座標系で揃えられます。したがって、パラメータMaterial Angleにより、Resolved-Inオプションに従って計算された角度だけ、ボックスをX軸から回転させることができます。パラメータPoint per edgesは、エッジごとにポイントをサンプリングします。
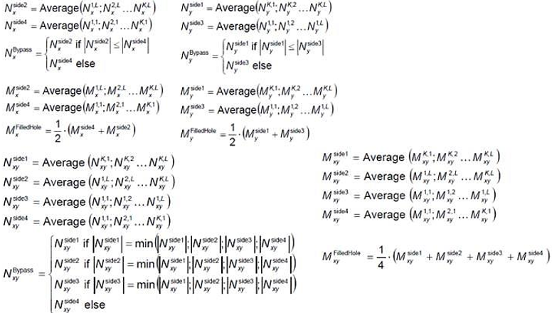
シェルの力 / モーメントNxx、Nyy、Nxy、Mx、My、Mxyのフィールドは、節点の要素からの値を平均した後に実行されます(結果ファイルで使用可能であればコーナーデータを考慮して)。フィールドクエリは、材料座標系でボックスエッジのエッジごとにサンプリングされたポイントで実行されます。積分点の数(エッジあたりのポイント数)はデフォルトでは3ですが、変更することが可能です。
Force流束(またはMoment流束)は、エッジごとに、エッジポイント上の値の平均として評価されます(各ポイント位置でフィールドから補間される)。バイパス流束と合計流束は、次の式を使用して評価されます:

抽出はRivet designpointの貫通シェルごとに実行されます。
このツールは、モーメントの符号に関する既定、およびオフセットの場合の修正もサポートしています(図 6および図 7)。
これはプレートの中央面でのモーメントを抽出します。Nastran/OptiStruct要素力の結果は要素基準面で与えられ、その基準面は、要素オフセット(ZOFFS)が使用されていても中央面と一致します。ただし、PCOMP Z0 != -t/2です。このようなケースはもはや存在せず、モーメントは基準面から中央面に戻す必要があります(図 7)。この修正は、出力を生成する前にツールで行われます。中間面で抽出が実行されない場合にモーメントの修正を考慮するため、次のメソッドに従います:


出力オプション(Output Options)
DLS Ratio
このメソッドには、図 3に示されているように、DLS比(デフォルトで“true”)を評価するフラグがあります。DLS比は、アセンブリの各プレートについて、次の手順で評価されます:

指定のプレートについて、上下の要素からのベアリング力に対するせん断力の寄与率が評価され、最低値が保持されます(図 8)。
- プレートiの各プレートCikの寄与を定義します

- プレートiのFbearingおよびFshearを定義します

- 指定のプレートiのDLS比を定義します

出力データとフォーマット
パラメータExtraction(図 3)によって、出力データが書き込まれます。
- Fastener Force
- プレートごと(elementid)に留め具の力と最大引張(荷重ケースごと)が出力されます。
- 力と流束
- プレートごと(elementid)に留め具の力がバイパス流束とDLS比と共に出力されます。このモードで実行すると、必要な結果がすべて出力される一方、Allと比較してメモリフットプリントが小さくなります。
- All
- すべてのデバッグ情報を前の結果と共に出力します。これには、抽出が発生するポイントの座標と、それらの位置で抽出された生データ(Nxx、Nyy、...)が含まれます。また、すべての接合の詳細(プレートにリンクされる1D要素のID)とボックスの寸法も出力されます。結果として、85個の列が作成されます。最初の行にある列の注記には、使用される抽出座標系が記載されています。
もう1つのパラメータResultは、結果の保存方法を特定します。
- Table(デフォルト)
- HyperMeshセッションでテーブルエンティティを作成します。これはバイナリファイルで保存されます。
- 後続のチェインメソッドがJointLoadの後に実行される場合、このオプションは必須です。
- Csv File
- この実行は、ディスク上のcsvファイルに直接結果をダンプします。
- これはフォルダーの位置を示します。デフォルトでは、HyperMeshの作業ディレクトリになります。
- ファイル名は、メソッド名にRUNが付加されたものとなります。
- 上書きオプションはここでは無効です。ファイル名がエクスポートディレクトリに既に存在する場合、その名前は常にインクリメントされます。
- 生成されたcsvファイルはコンマで区切られます。
- Result File
- Resultが“Csv File”に設定されている場合に使用可能です。
- Loadcase size
- Result Fileが“Split_ByLoadcases”に設定されている場合に使用できます。
前提条件
JointLoadは、結果ファイルとしてNastranの結果フォーマットとOptiStructネイティブの*.h3dをサポートしています。
- 1D要素力
- 2D要素の力およびモーメント


