障害物

あらかじめ定義された障害物テンプレートを使って、既存の軟質土壌の道路形状に重ね合わせるさまざまなタイプの障害物を作成できます。

実装

障害物を正しく配置するには、図1に示すように、障害物の中心のXおよびY座標と(向きを決定する)THETA角を設定する必要があります。

デフォルトでは、各障害物は可変形として作成され、グローバルな軟質土壌パラメータが使用できるようになっています(図2参照)。デフォルト状態を変更するために、オプションパラメータのMATを‘RIGID’またはユーザー定義の‘MAT_LABEL’に設定できます。具体的には、前者の場合、障害物は剛体(変形不可)で、FIALAタイヤモデルを使用してタイヤと剛体路面の相互作用が実装されます(図3参照)。一方、後者の場合、障害物は可変形のままです。ただし、新しいブロック‘MAT_LABEL’で定義した障害物の領域には、グローバルな軟質土壌パラメータの代わりに、新しいパラメータセットが使用されます(図4参照)。最後に、路面データ(.rdf)ファイル内にブロック‘MAT_LABEL’が見つからない場合、シミュレーションはグローバルな軟質土壌パラメータを使用して実行されます。

$-----------------------------------------------------SOIL_PROPERTIES
[PROPERTIES]
 PHI                  = 0.649      $ Angle of internal shearing resistance [angle]
 C                    = 800.0      $ Soil apparent cohesion [force/length**2]
 KX0                  = 0.043      $ Shear deformation module [length/angle]
 KX1                  = 0.036      $ Shear deformation module [length]
 KY0                  = 0.020      $ Shear deformation module [length/angle]
 KY1                  = 0.013      $ Shear deformation module [length] 
 KC                   = 1370.0     $ Pressure-sinkage parameter [force/length**(n+1)]
 KPHI                 = 8.14E5     $ Pressure-sinkage parameter [force/length**(n+2)]
 SINKAGE_EXPONENT     = 1.0        $ Sinkage exponent n [-]
 C1                   = 0.4        $ Parameter for wheel angle of maximum normal stress [-]
 C2                   = 0.15       $ Parameter for wheel angle of maximum normal stress [-]
 SOIL_STIFFNESS       = 8.14E6     $ Soil elastic stiffness [force/length**3]
 SOIL_DAMPING         = 500.0      $ Soil damping [force*time/length]
 SOIL_DENSITY         = 1600.0     $ Soil density [mass/length**3]
$--------------------------------------------------------------RECTANGULAR_OBSTACLE
[RECT_OBSTACLE]
 X                    = 0.0        $ X coordinate of obstacle's center
 Y                    = 0.0        $ Y coordinate of obstacle's center
 Z                    = 0.0        $ Z coordinate of obstacle
 LENGTH               = 1.0        $ Length of obstacle
 WIDTH                = 0.5        $ Width of obstacle
 THETA                = 0.0        $ Theta (orientation) angle of obstacle with respect to road z-axis
 UMIN                 = 0.8        $ Parameter for tire-rigid road interaction (Fiala tire model)
 UMAX                 = 1.0        $ Parameter for tire-rigid road interaction (Fiala tire model)
 CSLIP                = 20000.0    $ Parameter for tire-rigid road interaction (Fiala tire model)
 CALPHA               = 44000.0    $ Parameter for tire-rigid road interaction (Fiala tire model)

図2: グローバルな軟質土壌パラメータを使用した、可変形の長方形障害物の例

$-----------------------------------------------------RECTANGULAR_OBSTACLE
[RECT_OBSTACLE]
 MAT                  = 'RIGID'    $ Obstacle's material
 X                    = 0.0        $ X coordinate of obstacle's center
 Y                    = 0.0        $ Y coordinate of obstacle's center
 Z                    = 0.0        $ Z coordinate of obstacle
 LENGTH               = 1.0        $ Length of obstacle
 WIDTH                = 0.5        $ Width of obstacle
 THETA                = 0.0        $ Theta (orientation) angle of obstacle with respect to road z-axis
 UMIN                 = 0.8        $ Parameter for tire-rigid road interaction (Fiala tire model)
 UMAX                 = 1.0        $ Parameter for tire-rigid road interaction (Fiala tire model)
 CSLIP                = 20000.0    $ Parameter for tire-rigid road interaction (Fiala tire model)
 CALPHA               = 44000.0    $ Parameter for tire-rigid road interaction (Fiala tire model)

図3: 剛体の長方形障害物の例

$-----------------------------------------------------RECTANGULAR_OBSTACLE
[RECT_OBSTACLE]
 MAT                  = 'MAT1'     $ Obstacle's material
 X                    = 0.0        $ X coordinate of obstacle's center
 Y                    = 0.0        $ Y coordinate of obstacle's center
 Z                    = 0.0        $ Z coordinate of obstacle
 LENGTH               = 1.0        $ Length of obstacle
 WIDTH                = 0.5        $ Width of obstacle
 THETA                = 0.0        $ Theta (orientation) angle of obstacle with respect to road z-axis
 UMIN                 = 0.8        $ Parameter for tire-rigid road interaction (Fiala tire model)
 UMAX                 = 1.0        $ Parameter for tire-rigid road interaction (Fiala tire model)
 CSLIP                = 20000.0    $ Parameter for tire-rigid road interaction (Fiala tire model)
 CALPHA               = 44000.0    $ Parameter for tire-rigid road interaction (Fiala tire model)
$-----------------------------------------------------MATERIAL1
[MAT1]
 MU                   = 1.0        $ Friction coefficient
 PHI                  = 0.649      $ Angle of internal shearing resistance [angle]
 C                    = 800.0      $ Soil apparent cohesion [force/length**2]
 KX0                  = 0.043      $ Shear deformation module [length/angle]
 KX1                  = 0.036      $ Shear deformation module [length]
 KY0                  = 0.020      $ Shear deformation module [length/angle]
 KY1                  = 0.013      $ Shear deformation module [length]
 KC                   = 1370.0     $ Pressure-sinkage parameter [force/length**(n+1)]
 KPHI                 = 7.14E5     $ Pressure-sinkage parameter [force/length**(n+2)]
 SINKAGE_EXPONENT     = 1.0        $ Sinkage exponent n [-]
 C1                   = 0.4        $ Parameter for wheel angle of maximum normal stresss [-]
 C2                   = 0.15       $ Parameter for wheel angle of maximum normal stresss [-]
 SOIL_STIFFNESS       = 7.14E6     $ Soil elastic stiffness [force/length**3]
 SOIL_DAMPING         = 500.0      $ Soil damping [force*time/length]
 SOIL_DENSITY         = 1600.0     $ Soil density [mass/length**3]

図4: ‘MAT1’ブロックで定義した軟質土壌パラメータを使用した、可変形の長方形障害物の例

障害物のタイプ

現在のタイヤモデルでは、以下の障害物タイプを使用できます:
  • Rectangular obstacle(長方形障害物)
  • Circular obstacle(円形障害物)
  • Bump obstacle(バンプ障害物)
  • Ramp obstacle(ランプ障害物)
  • Roof obstacle(ルーフ障害物)
  • Sine obstacle(正弦障害物)
  • Sine-sweep obstacle (Linear/Logarithmic)(正弦スイープ障害物(線形 / 対数))
  • Plank obstacle (Beveled edges/Round edges)(プランク障害物(ベベルエッジ / ラウンドエッジ))
  • Custom obstacle(カスタム障害物)

長方形障害物

長方形障害物を作成するには、路面データ(.rdf)ファイル内に以下のパラメータを含む新しいブロック(RECT_OBSTACLEブロック)が必要です:

パラメータ 説明 単位
X 障害物の中心のX座標 長さ
Y 障害物の中心のY座標 長さ
Z 障害物のZ座標 長さ
LENGTH 障害物の長さ 長さ
WIDTH 障害物の幅 長さ
THETA 障害物のtheta(方向)角 Angle
UMIN タイヤと剛体路面の相互作用のパラメータ(FIALAタイヤモデル) -
UMAX タイヤと剛体路面の相互作用のパラメータ(FIALAタイヤモデル) -
CSLIP タイヤと剛体路面の相互作用のパラメータ(FIALAタイヤモデル) フォース
CALPHA タイヤと剛体路面の相互作用のパラメータ(FIALAタイヤモデル) フォース
MAT 障害物の材料。オプションパラメータで、デフォルト値は‘SOFT_SOIL’。 -

円形障害物

円形障害物を作成するには、路面データ(.rdf)ファイル内に以下のパラメータを含む新しいブロック(CIRC_OBSTACLEブロック)が必要です:

パラメータ 説明 単位
X 障害物の中心のX座標 長さ
Y 障害物の中心のY座標 長さ
Z 障害物のZ座標 長さ
RADIUS 円形障害物の半径 長さ
UMIN タイヤと剛体路面の相互作用のパラメータ(FIALAタイヤモデル) -
UMAX タイヤと剛体路面の相互作用のパラメータ(FIALAタイヤモデル) -
CSLIP タイヤと剛体路面の相互作用のパラメータ(FIALAタイヤモデル) フォース
CALPHA タイヤと剛体路面の相互作用のパラメータ(FIALAタイヤモデル) フォース
MAT 障害物の材料。オプションパラメータで、デフォルト値は‘SOFT_SOIL’。 -

バンプ障害物

バンプ障害物を作成するには、路面データ(.rdf)ファイル内に以下のパラメータを含む新しいブロック(BUMP_OBSTACLEブロック)が必要です:

パラメータ 説明 単位
X 障害物の中心のX座標 長さ
Y 障害物の中心のY座標 長さ
Z バンプ端のZ座標 長さ
RADIUS バンプの半径 長さ
WIDTH 障害物の幅 長さ
THETA 障害物のtheta(方向)角 Angle
UMIN タイヤと剛体路面の相互作用のパラメータ(FIALAタイヤモデル) -
UMAX タイヤと剛体路面の相互作用のパラメータ(FIALAタイヤモデル) -
CSLIP タイヤと剛体路面の相互作用のパラメータ(FIALAタイヤモデル) フォース
CALPHA タイヤと剛体路面の相互作用のパラメータ(FIALAタイヤモデル) フォース
MAT 障害物の材料。オプションパラメータで、デフォルト値は‘SOFT_SOIL’。 -

ランプ障害物

ランプ障害物を作成するには、路面データ(.rdf)ファイル内に以下のパラメータを含む新しいブロック(RAMP_OBSTACLEブロック)が必要です:

パラメータ 説明 単位
X 障害物の中心のX座標 長さ
Y 障害物の中心のY座標 長さ
Z_START 障害物の始点のZ座標 長さ
LENGTH 障害物の長さ 長さ
WIDTH 障害物の幅 長さ
THETA 障害物のtheta(方向)角 Angle
PHI 障害物のPhi(傾斜)角 Angle
UMIN タイヤと剛体路面の相互作用のパラメータ(FIALAタイヤモデル) -
UMAX タイヤと剛体路面の相互作用のパラメータ(FIALAタイヤモデル) -
CSLIP タイヤと剛体路面の相互作用のパラメータ(FIALAタイヤモデル) フォース
CALPHA タイヤと剛体路面の相互作用のパラメータ(FIALAタイヤモデル) フォース
MAT 障害物の材料。オプションパラメータで、デフォルト値は‘SOFT_SOIL’。 -

ルーフ障害物

ルーフ障害物を作成するには、路面データ(.rdf)ファイル内に以下のパラメータを含む新しいブロック(ROOF_OBSTACLEブロック)が必要です:

パラメータ 説明 単位
X 障害物の中心のX座標 長さ
Y 障害物の中心のY座標 長さ
Z_START 障害物の始点のZ座標 長さ
Z 障害物の中間点のZ座標 長さ
LENGTH 障害物の長さ 長さ
WIDTH 障害物の幅 長さ
THETA 障害物のtheta(方向)角 Angle
UMIN タイヤと剛体路面の相互作用のパラメータ(FIALAタイヤモデル) -
UMAX タイヤと剛体路面の相互作用のパラメータ(FIALAタイヤモデル) -
CSLIP タイヤと剛体路面の相互作用のパラメータ(FIALAタイヤモデル) フォース
CALPHA タイヤと剛体路面の相互作用のパラメータ(FIALAタイヤモデル) フォース
MAT 障害物の材料。オプションパラメータで、デフォルト値は‘SOFT_SOIL’。 -

正弦障害物

正弦障害物を作成するには、路面データ(.rdf)ファイル内に以下のパラメータを含む新しいブロック(SINE_OBSTACLEブロック)が必要です:

パラメータ 説明 単位
X 障害物の中心のX座標 長さ
Y 障害物の中心のY座標 長さ
Z 障害物のZ座標 長さ
LENGTH 障害物の長さ 長さ
WIDTH 障害物の幅 長さ
THETA 障害物のtheta(方向)角 Angle
AMPLITUDE 正弦波の振幅 長さ
WAVELENGTH 正弦波の波長 長さ
UMIN タイヤと剛体路面の相互作用のパラメータ(FIALAタイヤモデル) -
UMAX タイヤと剛体路面の相互作用のパラメータ(FIALAタイヤモデル) -
CSLIP タイヤと剛体路面の相互作用のパラメータ(FIALAタイヤモデル) フォース
CALPHA タイヤと剛体路面の相互作用のパラメータ(FIALAタイヤモデル) フォース
MAT 障害物の材料。オプションパラメータで、デフォルト値は‘SOFT_SOIL’。 -

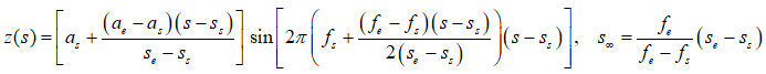
正弦スイープ障害物

この障害物タイプでは、長手方向の関数として正弦波の振幅と周波数が変化します。具体的には、障害物の高さの計算で2つのケースを識別できます。

線形スイープ

対数スイープ

正弦スイープ障害物を作成するには、路面データ(.rdf)ファイル内に以下のパラメータを含む新しいブロック(SINE_SWEEP_OBSTACLEブロック)が必要です:

パラメータ 説明 単位
X 障害物の中心のX座標 長さ
Y 障害物の中心のY座標 長さ
Z 障害物のZ座標 長さ
LENGTH 障害物の長さ 長さ
WIDTH 障害物の幅 長さ
THETA 障害物のtheta(方向)角 Angle
AMPLITUDE_START 障害物の始点の振幅 長さ
WAVELENGTH_START 障害物の始点の波長 長さ
AMPLITUDE_END 障害物の終点の振幅 長さ
WAVELENGTH_END 障害物の終点の波長 長さ
UMIN タイヤと剛体路面の相互作用のパラメータ(FIALAタイヤモデル) -
UMAX タイヤと剛体路面の相互作用のパラメータ(FIALAタイヤモデル) -
CSLIP タイヤと剛体路面の相互作用のパラメータ(FIALAタイヤモデル) フォース
CALPHA タイヤと剛体路面の相互作用のパラメータ(FIALAタイヤモデル) フォース
SWEEP_TYPE スイープタイプ(‘LINEAR’または‘LOGARITHMIC’)。オプションパラメータで、デフォルト値は‘LINEAR’。 -
MAT 障害物の材料。オプションパラメータで、デフォルト値は‘SOFT_SOIL’。 -

プランク障害物

プランク障害物を使用する場合、エッジの形状に関して2つの異なるケースを識別できます。詳しく言うと、BEVEL_EDGE_LENGTHパラメータが正の場合、ベベルエッジが使用されます。一方、このパラメータが負の値の場合はラウンドエッジが作成され、コーナーの曲率半径が|BEVEL_EDGE_LENGTH|と等しくなります。

プランク障害物を作成するには、路面データ(.rdf)ファイル内に以下のパラメータを含む新しいブロック(PLANK_OBSTACLEブロック)が必要です:

パラメータ 説明 単位
X 障害物の中心のX座標 長さ
Y 障害物の中心のY座標 長さ
Z 障害物のZ座標 長さ
LENGTH 障害物の長さ 長さ
WIDTH 障害物の幅 長さ
THETA 障害物のtheta(方向)角 Angle
BEVEL_EDGE_LENGTH ベベルエッジの長さ(45°の角度)このパラメータが負の場合、障害物はラウンドエッジで作成され、曲率半径が|BEVEL_EDGE_LENGTH|と等しくなります。 長さ
UMIN タイヤと剛体路面の相互作用のパラメータ(FIALAタイヤモデル) -
UMAX タイヤと剛体路面の相互作用のパラメータ(FIALAタイヤモデル) -
CSLIP タイヤと剛体路面の相互作用のパラメータ(FIALAタイヤモデル) フォース
CALPHA タイヤと剛体路面の相互作用のパラメータ(FIALAタイヤモデル) フォース
MAT 障害物の材料。オプションパラメータで、デフォルト値は‘SOFT_SOIL’。 -

カスタム障害物

カスタム障害物により、軟質土壌路面に任意の形状の障害物を作成できます。障害物は、CUSTOM_OBSTACLEブロックで、ポイントクラウドデータ(PCD)路面として定義されます。

PCDは、三角メッシュからなる有限要素(FE)サーフェスによって表される路面です。カスタム障害物は、.rdfファイルで節点と要素のテーブルを追加するか、OptiStruct .femファイルを指定することで指定できます。詳細については、PCD [ポイントクラウドデータ]をご参照ください。

パラメータ 説明 単位
X 障害物の中心のX座標 長さ
Y 障害物の中心のY座標 長さ
Z 障害物のZ座標 長さ
THETA 障害物のtheta(方向)角 Angle
UMIN タイヤと剛体路面の相互作用のパラメータ(FIALAタイヤモデル) -
UMAX タイヤと剛体路面の相互作用のパラメータ(FIALAタイヤモデル) -
CSLIP タイヤと剛体路面の相互作用のパラメータ(FIALAタイヤモデル) フォース
CALPHA タイヤと剛体路面の相互作用のパラメータ(FIALAタイヤモデル) フォース
FILE_PATH 障害物を表すPCD路面ファイル(.rdf -
MAT 障害物の材料。オプションパラメータで、デフォルト値は‘SOFT_SOIL’。 -

OBSTACLESブロック

最後に、各タイプ(長方形、円形など)の複数の障害物をサポートするため、各タイプの障害物名のリストを含む追加のブロック(OBSTACLESブロック)を定義できます(図14を参照)。このブロックは、モデル内の特定のタイプ(長方形、円形など)に複数の障害物が存在する場合にのみ、その特定の障害物タイプに対してのみ必要となることを強く認識する必要があります。それ以外の場合はすべて、障害物は以前提示したブロックを使用して作成されます(長方形障害物はRECT_OBSTACLEブロック、円形障害物はCIRC_OBSTACLEブロックなど)。さらに、下の例に示すように、各リスト内の障害物名はカンマ区切りの値で入力する必要があります。

$-----------------------------------------------------OBSTACLES
[OBSTACLES]
 RECT_OBSTACLE          = 'RECT_OBS1,RECT_OBS2,RECT_OBS3'    
 CIRC_OBSTACLE          = 'CIRC_OBS1,CIRC_OBS2,CIRC_OBS3'       
 BUMP_OBSTACLE          = 'BUMP_OBS1,BUMP_OBS2,BUMP_OBS3'      
 ROOF_OBSTACLE          = 'ROOF_OBS1,ROOF_OBS2,ROOF_OBS3'      
 RAMP_OBSTACLE          = 'RAMP_OBS1,RAMP_OBS2,RAMP_OBS3'      
 SINE_OBSTACLE          = 'SINE_OBS1,SINE_OBS2,SINE_OBS3'     
 SINE_SWEEP_OBSTACLE    = 'SINE_SWEEP_OBS1,SINE_SWEEP_OBS2,SINE_SWEEP_OBS3'      
 PLANK_OBSTACLE         = 'PLANK_OBS1,PLANK_OBS2,PLANK_OBS3'             
$--------------------------------------------------------------RECTANGULAR_OBSTACLE
[RECT_OBS1]
 X                      = 0.0   
 Y                      = 0.0   
 Z                      = 0.0   
 LENGTH                 = 1.0    
 WIDTH                  = 0.5   
 THETA                  = 0.0   
 UMIN                   = 0.8   
 UMAX                   = 1.0   
 CSLIP                  = 20000.0  
 CALPHA                 = 44000.0  

図14: 各タイプの複数の障害物をサポートするための新しいブロック(OBSTACLESブロック)

プロパティファイルの例

Rectangular Obstacle(長方形障害物)

$-----------------------------------------------------RECTANGULAR_OBSTACLE
[RECT_OBSTACLE]
 X              = 0.0        $ X coordinate of obstacle's center
 Y              = 0.0        $ Y coordinate of obstacle's center
 Z              = 0.0        $ Z coordinate of obstacle
 LENGTH         = 1.0        $ Length of obstacle
 WIDTH          = 0.5        $ Width of obstacle
 THETA          = 0.0        $ Theta (orientation) angle of obstacle
 UMIN           = 0.8        $ Parameter for tire-rigid road interaction (Fiala tire model)
 UMAX           = 1.0        $ Parameter for tire-rigid road interaction (Fiala tire model)
 CSLIP          = 20000.0    $ Parameter for tire-rigid road interaction (Fiala tire model)
 CALPHA         = 44000.0    $ Parameter for tire-rigid road interaction (Fiala tire model)

図15: 路面データ(.rdf)ファイル内の可変形の長方形障害物の例

Circular Obstacle(円形障害物)

$-----------------------------------------------------CIRCULAR_OBSTACLE
[CIRC_OBSTACLE]
 X              = 0.0        $ X coordinate of obstacle's center
 Y              = 0.0        $ Y coordinate of obstacle's center
 Z              = 0.0        $ Z coordinate of obstacle
 RADIUS         = 0.3        $ Radius of circular obstacle
 UMIN           = 0.8        $ Parameter for tire-rigid road interaction (Fiala tire model)
 UMAX           = 1.0        $ Parameter for tire-rigid road interaction (Fiala tire model)
 CSLIP          = 20000.0    $ Parameter for tire-rigid road interaction (Fiala tire model)
 CALPHA         = 44000.0    $ Parameter for tire-rigid road interaction (Fiala tire model)

図16: 路面データ(.rdf)ファイル内の可変形の円形障害物の例

Bump Obstacle(バンプ障害物)

$-----------------------------------------------------BUMP_OBSTACLE
[BUMP_OBSTACLE]
 X              = 0.0        $ X coordinate of obstacle's center
 Y              = 0.0        $ Y coordinate of obstacle's center
 Z              = 0.0        $ Z coordinate of bump's center
 WIDTH          = 0.3        $ Width of obstacle
 RADIUS         = 0.1        $ Radius of bump
 THETA          = 0.0        $ Theta (orientation) angle of obstacle
 UMIN           = 0.8        $ Parameter for tire-rigid road interaction (Fiala tire model)
 UMAX           = 1.0        $ Parameter for tire-rigid road interaction (Fiala tire model)
 CSLIP          = 20000.0    $ Parameter for tire-rigid road interaction (Fiala tire model)
 CALPHA         = 44000.0    $ Parameter for tire-rigid road interaction (Fiala tire model)

図17: 路面データ(.rdf)ファイル内の可変形のバンプ障害物の例

Ramp Obstacle(ランプ障害物)

$-----------------------------------------------------RAMP_OBSTACLE
[RAMP_OBSTACLE]
 X              = 0.0        $ X coordinate of obstacle's center
 Y              = 0.0        $ Y coordinate of obstacle's center
 Z_START        = 0.0        $ Z coordinate of obstacle's starting point
 LENGTH         = 1.0        $ Length of obstacle
 WIDTH          = 0.5        $ Width of obstacle
 THETA          = 0.0        $ Theta (orientation) angle of obstacle
 PHI            = 0.087      $ Phi (inclination) angle of obstacle
 UMIN           = 0.8        $ Parameter for tire-rigid road interaction (Fiala tire model)
 UMAX           = 1.0        $ Parameter for tire-rigid road interaction (Fiala tire model)
 CSLIP          = 20000.0    $ Parameter for tire-rigid road interaction (Fiala tire model)
 CALPHA         = 44000.0    $ Parameter for tire-rigid road interaction (Fiala tire model)

図18: 路面データ(.rdf)ファイル内の可変形のランプ障害物の例

Roof Obstacle(ルーフ障害物)

$-----------------------------------------------------ROOF_OBSTACLE
[ROOF_OBSTACLE]
 X              = 0.0        $ X coordinate of obstacle's center
 Y              = 0.0        $ Y coordinate of obstacle's center
 Z_START        = 0.0        $ Z coordinate of obstacle's starting point
 Z              = 0.05       $ Z coordinate of obstacle's midpoint
 LENGTH         = 1.0        $ Length of obstacle
 WIDTH          = 0.5        $ Width of obstacle
 THETA          = 0.0        $ Theta (orientation) angle of obstacle
 UMIN           = 0.8        $ Parameter for tire-rigid road interaction (Fiala tire model)
 UMAX           = 1.0        $ Parameter for tire-rigid road interaction (Fiala tire model)
 CSLIP          = 20000.0    $ Parameter for tire-rigid road interaction (Fiala tire model)
 CALPHA         = 44000.0    $ Parameter for tire-rigid road interaction (Fiala tire model)

図19: 路面データ(.rdf)ファイル内の可変形のルーフ障害物の例

Sine Obstacle(正弦障害物)

$-----------------------------------------------------SINE_OBSTACLE
[SINE_OBSTACLE]
 X              = 0.0        $ X coordinate of obstacle's center
 Y              = 0.0        $ Y coordinate of obstacle's center
 Z              = 0.0        $ Z coordinate of obstacle
 LENGTH         = 1.0        $ Length of obstacle
 WIDTH          = 0.5        $ Width of obstacle
 THETA          = 0.0        $ Theta (orientation) angle of obstacle
 AMPLITUDE      = 0.05       $ Amplitude of sine wave
 WAVELENGTH     = 1.0        $ Wavelength of sine wave
 UMIN           = 0.8        $ Parameter for tire-rigid road interaction (Fiala tire model)
 UMAX           = 1.0        $ Parameter for tire-rigid road interaction (Fiala tire model)
 CSLIP          = 20000.0    $ Parameter for tire-rigid road interaction (Fiala tire model)
 CALPHA         = 44000.0    $ Parameter for tire-rigid road interaction (Fiala tire model)

図20: 路面データ(.rdf)ファイル内の可変形の正弦障害物の例

Sine-sweep Obstacle(正弦スイープ障害物)

$-----------------------------------------------------SINE_SWEEP__OBSTACLE
[SINE_SWEEP_OBSTACLE]
 X                 = 0.0             $ X coordinate of obstacle's center
 Y                 = 0.0             $ Y coordinate of obstacle's center
 Z                 = 0.0             $ Z coordinate of obstacle
 LENGTH            = 6.0             $ Length of obstacle
 WIDTH             = 0.3             $ Width of obstacle
 THETA             = 0.0             $ Theta (orientation) angle of obstacle
 AMPLITUDE_START   = 0.05            $ Amplitude of obstacle's starting point
 WAVELENGTH_START  = 1.0             $ Wavelength of obstacle's starting point
 AMPLITUDE_END     = 0.01            $ Amplitude of obstacle's endpoint
 WAVELENGTH_END    = 0.5             $ Wavelength of obstacle's endpoint
 SWEEP_TYPE        = 'LOGARITHMIC'   $ Sweep type ('LINEAR' or 'LOGARITHMIC'). Default value is 'LINEAR' 
 UMIN              = 0.8             $ Parameter for tire-rigid road interaction (Fiala tire model)
 UMAX              = 1.0             $ Parameter for tire-rigid road interaction (Fiala tire model)
 CSLIP             = 20000.0         $ Parameter for tire-rigid road interaction (Fiala tire model)
 CALPHA            = 44000.0         $ Parameter for tire-rigid road interaction (Fiala tire model)

図21: 路面データ(.rdf)ファイル内の可変形の正弦スイープ障害物の例

Plank Obstacle(プランク障害物)

$-----------------------------------------------------PLANK_OBSTACLE
[PLANK_OBSTACLE]
 X                   = 0.0         $ X coordinate of obstacle's center
 Y                   = 0.0         $ Y coordinate of obstacle's center
 Z                   = 0.05        $ Z coordinate of obstacle
 LENGTH              = 1.0         $ Length of obstacle
 WIDTH               = 0.5         $ Width of obstacle
 THETA               = 0.0         $ Theta (orientation) angle of obstacle
 BEVEL_EDGE_LENGTH   = 0.02        $ Length of the beveled edge
 UMIN                = 0.8         $ Parameter for tire-rigid road interaction (Fiala tire model)
 UMAX                = 1.0         $ Parameter for tire-rigid road interaction (Fiala tire model)
 CSLIP               = 20000.0     $ Parameter for tire-rigid road interaction (Fiala tire model)
 CALPHA              = 44000.0     $ Parameter for tire-rigid road interaction (Fiala tire model)

図22: 路面データ(.rdf)ファイル内の可変形のプランク障害物の例

Custom Obstacle(カスタム障害物)

$----------------------------------------------------------------CUSTOM_OBSTACLE
[CUSTOM_OBS]
 X                   = -5.0                        $ X coordinate of obstacle's center
 Y                   = 0.0                         $ Y coordinate of obstacle's center
 Z                   = 0.0                         $ Z coordinate of obstacle
 THETA               = 0.0                         $ Theta (orientation) angle of obstacle
 UMIN                = 0.8                         $ Parameter for tire-rigid road interaction (Fiala tire model)
 UMAX                = 1.0                         $ Parameter for tire-rigid road interaction (Fiala tire model)
 CSLIP               = 20000.0                     $ Parameter for tire-rigid road interaction (Fiala tire model)
 CALPHA              = 44000.0                     $ Parameter for tire-rigid road interaction (Fiala tire model)
 FILE_PATH           = 'PCD_road_obstacle.rdf'     $ Point Could Data road file representing the obstacle

図23: 路面データ(.rdf)ファイル内の可変形のカスタム障害物の例