応答変数の変更
応答変数の応答タイプを変更するには、Response typeドロップダウンメニューを使用して以下のいずれかを選択します:
- At Reference Signal Value
- At Time
- 特定時点における指定の式の値を取得します。
- Generic
- 任意の汎用ソルバー式を使用して応答値を計算します。
- MaxVal
- 指定の式の最大値を取得します。
- MinVal
- 指定の式の最小値を取得します。
- Response Expression
- 他の応答変数と設計変数を扱う数理式を使用して応答を求めます。
- Root Mean Square Deviation
- 指定の式と目標曲線との間でRMS値を計算します。
- Slope
- 2つの式から得られた曲線が特定の時点で持つ傾斜を計算します。
- Slope Deviation
- 2つの式から得られた曲線が特定の時点で持つ傾斜とその目標値との偏差を計算します。
さまざまな応答タイプの詳細については、“応答変数のタイプ”セクションをご参照ください。
ヒント: これらの応答タイプの効果的な使用方法を紹介するヒントを以下に挙げます。
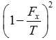
- システムパラメータに特定の値が得られるようにするには、Genericタイプの応答変数を使用します。例えば、式Fxの値(スプリングで保持されている質量の変位)が目標値T(10mm)になるようにするには、Response Expressionを次のように定義したGenericタイプの応答変数を使用します。応答式 =

図 2. 
Fxの値がTに近付くほど、この応答の値は最小値に近くなります。
- 特定のシステムの動作が、目的の入力曲線と一致するようにするには、Root Mean Square Deviationタイプの応答変数を使用します。目的の曲線と実際の曲線とのRMS偏差が計算されます。
図 3. 
したがって、この応答が最小値になるような目標を設定すると、目的の動作を得るうえで効果的です。